Cannabis Fund Ordinance Proposed
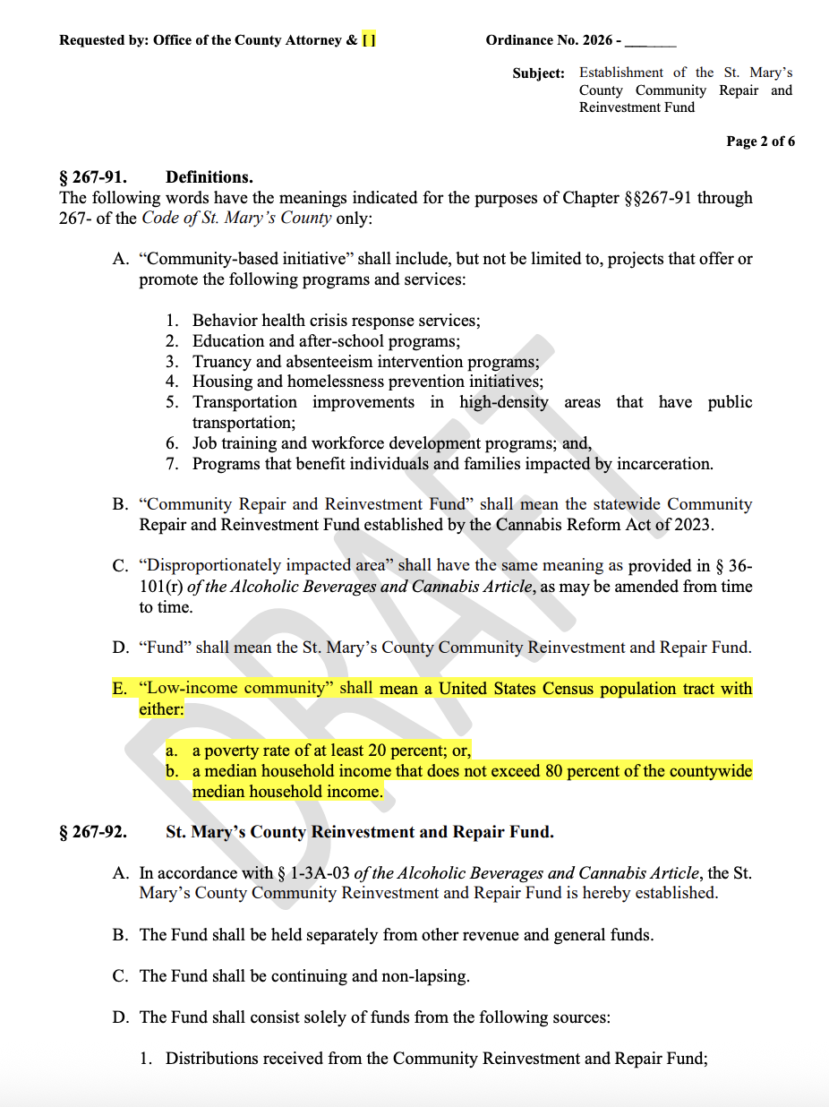
A draft ordinance was presented to the County Commissioners on Feb. 10 outlining proposed regulations to govern the use of money from the Community Reinvestment and Repair Fund (CRRF). Distributions of state cannabis tax revenue are intended, under state law, to support community programs serving low-income residents and disproportionately impacted areas.
In St. Mary’s County, only the 20653 ZIP code — Lexington Park — qualifies as a disproportionately impacted area because of the high number of cannabis possession charges over the past 20 years, according to state data. Funding should be used for community initiatives focused on education, employment, health, homelessness services and transportation in low-income areas. Additional guidance from the state Office of Social Equity is overdue and could further clarify how the funding may be used.
Deputy County Attorney John Houser presented the draft ordinance, emphasizing that it is not final. He said he intends to incorporate commissioners’ input before scheduling a public hearing in the coming weeks.
The draft states that CRRF revenues will be held separately from other county funds and may include county appropriations, accepted donations and returned grant funds. It follows state law for eligible uses but defines a “low-income community” as a U.S. Census tract with a poverty rate of at least 20% or a median household income at or below 80% of the countywide median.
Houser said the county’s median household income is $119,446, according to census data, placing the 80% threshold at $95,556. Lowering the threshold to 60% would disqualify all census tracts in the county, while raising it to 100% would double the number that qualify. “Looking at this strikes just how well off we are compared to other parts of this state,” Houser said.
Only two census tracts have poverty rates above 20%: an area of Lexington Park between Great Mills Road and Willows Road, and an area stretching roughly from Park Hall Road south to Point Lookout. (https://censusreporter.org/profiles/14000US24037875903-census-tract-875903-st-marys-md/)
Commissioners Mike Hewitt (R-District 2) and Scott Ostrow (R-District 4) suggested defining low-income areas based on participation rates in the Supplemental Nutrition Assistance Program (SNAP) or the school system’s Free and Reduced Meals (FARMs) program. Commissioner President Randy Guy (R-At Large) said he preferred to keep the definition simple, while Commissioner Mike Alderson (R-District 3) suggested lowering the 80% income cap to 70%.
State law prohibits using the funds to supplant existing county spending and bars distributions to law enforcement agencies or for law enforcement activities. Commissioner Colvin (R-District 1) said he would prefer limiting grants to projects with one-time costs rather than recurring expenses. Hewitt said projects should be “shovel-ready,” adding that “the idea would be cost sharing, something to help them get across the finish line.” He also supported setting a minimum request amount to ensure projects are substantial enough to justify the county’s administrative effort.
The ordinance allows the county to reimburse administrative expenses from the fund but caps those expenses at 15% of the state CRRF funds received in the same fiscal year. About $240,000 annually is expected through 2033, limiting administrative reimbursements to approximately $36,000 per year.
As drafted, the ordinance would designate a county department to manage the application and review process. Houser suggested the Department of Economic Development. The selected department would collect and present applications at a public meeting, with the commissioners retaining final decision-making authority.
An annual report detailing funds received, grant recipients, selection methods and administrative expenses must be presented to the commissioners each September and submitted to the state Office of Social Equity by Oct. 1, as required by state law.
Informed St. Mary’s will provide updates as the final draft is scheduled for public hearing.
—————
Informed St. Mary’s remains paywall free for everyone with your support. Donate here to support this important work.

